Logo

Definición

Microgravimetría:

    La ciencia y la práctica de la medición del campo Microgravimetría incluye la determinación del campo gravitatorio de la tierra (y otros planetas), así como la gravedad local en el laboratorio y los métodos e instrumentos para la medición de la gravedad. En general, el campo gravitacional de un cuerpo es descrito por su potencial gravitatorio V en función de su ubicación espacial (r) descrito por la ley de la gravitación de Newton: Logo









    donde G es la constante de gravitación universal. En un sistema coordenado que gira en el laboratorio en la Tierra, la aceleración debida a la gravedad (o caída libre), está compuesta de la parte ga debida a la atracción gravitacional y otra correspondiente a la aceleración centrífuga gc,

    Logo

    Las aceleración es ga y gc son gradientes de potencial gravitacional V y del potencial centrifugo Vc respectivamente, en donde el potencial centrífugo está descrito por la ecuación:

    Logo

    con ω igual a la velocidad angular de la Tierra y d la distancia perpendicular al eje de rotación. Por lo tanto, el potencial gravitacional de un punto de masa girando con la Tierra está dado por:

    Logo

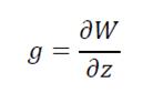
    La primera derivada de W en el sistema de coordenadas locales, donde el eje Z coincide con la dirección de la vertical, es la aceleración de caída libre (o FFA por su significado en inglés) representado por

    Logo

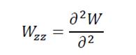
    Por lo que la segunda derivada corresponde al gradiente de la gravedad:

    Logo

    Las unidades del SI que describen el campo gravitacional para la aceleración en caída libre es m/s2 y 1/s2